The impetus for this deep dive and analysis was when Dr. Tommy Wood dropped the off-handed remark that tattoos may decrease sweat rate and increase sodium sweat concentrations. This was headline news a few years back seemingly based on the results from one study by Luetkemeier and colleagues [1].
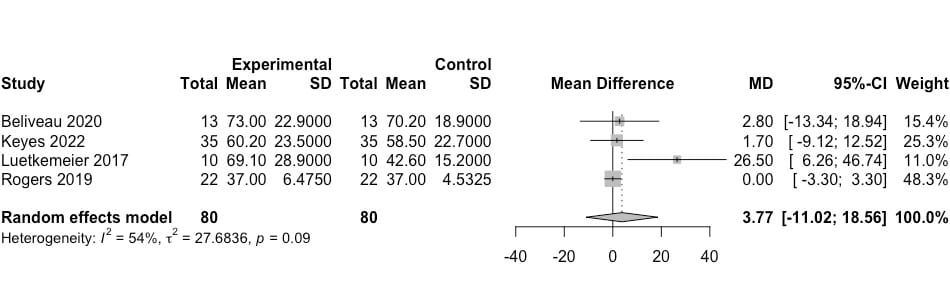
So, we went and found every human study to date that has investigated this question [1-5], and performed a rough meta-analysis to get a sense of the state of the literature.
This is an interesting question, but it hits home as I have a sleeve, and rough estimates show that over 50% of professional athletes are tatted up. Thus, as sweat testing and tattoos both become increasingly prevalent confounders like these are critical to identify or eliminate.
Despite early positive mechanistic findings in smaller study populations, it does not appear that there is a significant effect off tattooing on sweat rate or electrolyte concentration when we look at the entirety of the literature. To our knowledge, no study to date has found a statistically significant overall difference between tattooed and non-tattooed skin during exercise interventions.
“A study that used pilocarpine iontophoresis to stimulate sweating, found significantly lower LSR and higher sweat sodium concentration ([Na+]) from tattooed skin than contralateral skin without tattoos [5]. While a follow-up study by the same group also found lower LSR on tattooed skin during passive heating [1], other studies have reported no effect of tattoos on LSR or sweat [Na+] or potassium concentration ([K+]) during exercise-induced sweating [3, 4]. Potential reasons for the mixed results may be related to the method of sweat stimulation and resultant differences in sweat flow rates, as exercise produces LSRs that are 3–5 times higher than that of pilocarpine iontophoresis and passive heating.” –Keyes et al., 2022 [2]
You can download the audio HERE.


TL;DR - Tattooing likely does not affect localized sweat rate or electrolyte concentrations in a clinically meaningful way. If someone has tattoos covering the majority of their body it may be pragmatic to sweat test tattooed skin.
REFERENCES:
1. Luetkemeier, M.J., et al., Skin tattooing impairs sweating during passive whole body heating. J Appl Physiol (1985), 2020. 129(5): p. 1033-1038.
2. Keyes, D.M., et al., Multiple regression analyses to determine the effect of sweating rate and tattoo characteristics on sweat outcome measures during exercise. Eur J Appl Physiol, 2022. 122(10): p. 2163-2174.
3. Beliveau, J., et al., Permanent tattooing has no impact on local sweat rate, sweat sodium concentration and skin temperature or prediction of whole-body sweat sodium concentration during moderate-intensity cycling in a warm environment. Eur J Appl Physiol, 2020. 120(5): p. 1111-1122.
4. Rogers, E., et al., Tattoos do not affect exercise-induced localised sweat rate or sodium concentration. J Sci Med Sport, 2019. 22(11): p. 1249-1253.
5. Luetkemeier, M.J., J.M. Hanisko, and K.M. Aho, Skin Tattoos Alter Sweat Rate and Na+ Concentration. Med Sci Sports Exerc, 2017. 49(7): p. 1432-1436.

Related Content
The Muscle To Bone Ratio Revisited
Mar 17, 2026
Can You Get ALL The Endurance Data From One Test?
Mar 04, 2026
Do Baseline Hormonal Values Matter For Hypertrophy Adaptations?
Nov 01, 2025